浊度:
指水中的泥砂、粉尘、细微有机物、浮游生物等悬浮性物质及胶体物质等,都会导致水质变得浑浊而呈现出的一定程度的浑浊度。通常这些悬浮性物质及胶体物质也会寄生细菌和病毒等。
浊度一般采用通过穿过水样的光强度来进行测量,其单位一般以NTU表示,例如生活饮用水的浊度一般要求不得超过1NTU。
TSS(总悬浮固体):
指水样通过孔径为0.45μm的滤膜,截留在滤膜上并于103℃~105℃ 烘干至恒重的固体物质。
总悬浮固体是衡量水体水质污染程度的重要指标之一,计量单位是mg/L,该参数一般比浊度更加精确(浊度通常无法检测出极细微的颗粒)。
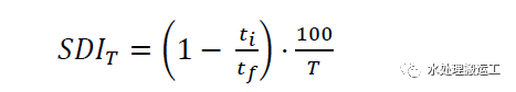
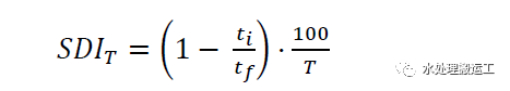
SDI(淤积密度指数):
是反渗透水处理系统的重要水质指标参数之一,SDI 值代表了水中颗粒、胶体和其他能阻塞各种水净化设备的物质含量,通常采用该参数来判断水中颗粒及胶体等物质堵塞各种水净化设备的可能性(下图)。

SDI的测定是在直径为47mm孔径为0.45μm的微孔滤膜上连续加入一定压力(30PSI,相当于2.1kg/cm)的被测定水,记录滤得500ml水所需的时间Ti(秒)和连续过滤15分钟(T)后再次滤得500ml 水所需的时间Tf(秒),通过公式计算SDI值:

公式中T一般为15分钟,即测量得到SDI15。
当水中的污染物质含量较高时,过滤水量可取100ml、200ml或300ml等,间隔时间也可为10分钟或5分钟等,计算公式中的T也相应的调整为10或5等。
TOC(总有机碳):
该参数最常用于测定水中的有机物含量,指水体中溶解性和悬浮性有机物含碳的总量,包括天然有机物(NOM)和合成有机物,常以“TOC”表示。
总有机碳一般用来评估超滤进水中可能导致膜发生有机污堵和生物污堵的可能性和趋势,TOC的单位为mg/L。当超滤膜进水TOC大于2mg/L 时,则表示超滤膜表面发生生物污堵的可能性很高。
DOC(溶解有机碳):
总有机碳(TOC)中能溶解于水的部分,一般指能通过孔径为0.45微米滤膜、并在分析过程中未蒸发失去的有机碳。
除污水外,大部分自然水体溶解有机碳(DOC)占总有机碳(TOC)的比例约为80-95%。
COD(化学需氧量):
指水样中能被强氧化剂氧化的还原性物质的量,即能被强氧化剂氧化的物质的氧当量。
虽然水样中可能有部分无机离子如二价铁离子等也会被氧化,但对大多数天然水和工业水而言,被氧化的物质均为有机物。它是一个重要的而且能较快测定的有机物污染参数。
BOD(生物需氧量):
生化需氧量或生化耗氧量(一般指五日生化学需氧量),为水中有机物等需氧污染物质含量的一个综合指标。
说明水中有机物由于微生物的生化作用进行氧化分解,使之无机化或气体化时所消耗水中溶解氧的总数量,其单位用ppm或mg/L表示。
为了使检测值具有可比性,一般规定一个统一的时间周期,在这段时间周期内在一定温度下用水样培养微生物,并测定水中溶解氧的消耗情况。
一般采用五天时间,称为五日生化需氧量,记做BOD5。BOD数值越大证明水中含有的有机物越多,污染也越严重。
UV254 吸光度:
UV254值是指水中一些有机物在254nm 波长紫外光下的吸光度,反映的是水中天然存在的腐殖质类大分子有机物,以及含碳碳双键和碳氧双键的芳香族化合物的多少,单位是cm-1,可作为TOC的一个替代参数。
若超滤进水的UV254吸光度高于0.5cm-1,则表明超滤膜很可能会发生生物污堵。
SUVA(比紫外吸光度):
指UV254和DOC的比值,如果SUVA大于4,则表明水中的有机物主要是腐殖质类有机物,如果SUVA小于2,则水中有机物主要为藻类物质。
O&G(油脂,碳氢化合物):
一种或多种液态的碳氢化合物组成。如果超滤进水中含有油脂,即使含量极小(如<0.05mg/L),也会加快膜的污堵。
铁和锰:
铁和锰的氧化形态可以被超滤膜系统截留,但同时也会造成膜的污堵。铁离子一般天然存在(如地下水等)、或由上游管道或设备的腐蚀产生,或上游处理凝聚过程的药剂残留造成等。
钙和镁:
水的硬度主要来自钙离子和镁离子。根据硬度的不同可将水分为软水(以CaCO3计最高不超过60mg/L)、硬水(以CaCO3计最高不超过180mg/L)和极硬水(以CaCO3计超过180mg/L)。
硬度对人体健康没有危害,但水中硬度过高,水处理过程中会导致管道、设备或膜表面结垢。
电导率:
水的电导率与总溶解固体(TDS)呈线性关系,表示水的导电能力,单位为μS/cm。
pH值:
用于表示水的酸性或碱性。pH值小于7的水为酸性,pH值大于7的水为碱性。纯水的pH值是7,为中性。
高pH值会导致水有苦味,并容易导致水管和设备结垢,pH值低的水会腐蚀或溶解金属和其它设备。
二氧化硅:
分为活性二氧化硅(溶解硅)或非活性二氧化硅(胶体硅)。一般胶体硅会造成超滤膜的污堵。
